У вас не стоит Flash Player
Настройки
#73600 - Fri Oct 02 2015 04:51 PM необходимо написать простенький скрипт
ivan05 Offline
stranger

Registered: Sat Sep 26 2015
Записи: 18
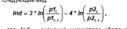
Готов заплатить за написание простенького скрипта. Сложность в использовании логарифмов.


Attachments
Снимок экрана (3).png (538 downloads)


Наверх
#73602 - Fri Oct 02 2015 04:58 PM Re: необходимо написать простенький скрипт [Re: ivan05]
Stan Offline
veteran

Registered: Wed Oct 02 2013
Записи: 1357
что такое p1 и p2??

Наверх
#73604 - Fri Oct 02 2015 05:01 PM Re: необходимо написать простенький скрипт [Re: ivan05]
ViL Offline
TSLab
Carpal Tunnel

Registered: Sun Oct 17 2010
Записи: 8143
Originally Posted By: ivan05
Готов заплатить за написание простенького скрипта. Сложность в использовании логарифмов.


Attachments
!!!!Новый скрипт.tscript (170 downloads)


Наверх
#73605 - Fri Oct 02 2015 05:02 PM Re: необходимо написать простенький скрипт [Re: ViL]
ivan05 Offline
stranger

Registered: Sat Sep 26 2015
Записи: 18
Тема закрыта ! Спасибо!!!

Наверх


Moderator:  ViL, captian, sar